开云体育(中国)官方网站就硬是在代码中加多了平滑处理-开云(中国登录入口)Kaiyun·体育官方网站

文|硅基星芒开云体育(中国)官方网站
让AI搞科研,在这个智能体期间已经不是一件簇新事。
从Sakana AI发布覆盖所有这个词这个词绸缪生命周期的自动化系统,到Google推出基于Gemini的AI接洽科学家,限度化标准告诉东说念主们,只好给AI提供有余的算力,它就能在海量数据和实验中索要出新的科学发现。
在数学领域,这小数已经被充分考据,比如拿到海外奥数金牌标准的AlphaProof。
然则,在表面物理学领域,AI还没能讲明我方,因为这需要它具备极高的物理“直观”、严实的逻辑以及复杂近似推导的智力。
为了摸清AI的智力上限,哈佛大学的物理学教学、好意思国国度科学基金会东说念主工智能与基础相互作用绸缪所(IAIFI)的首席绸缪员Matthew Schwartz决定躬行下场来作念一次实验。
这位教学招收了Anthropic的Claude Opus 4.5行为绸缪生,试图让它孤独完成一项真实的表面物理绸缪。
实验的国法雷同于东说念主们对智能体的要求:Schwartz教学十足不会碰任何代码或绸缪文献,只通过纯文本对话(Prompt)来率领这名AI绸缪生。
放在履行的高校中,这毫无疑问是不负拖累的,导师只靠“动嘴”,学生就要完成从文献综述、推导公式、编写代码、跑蒙特卡洛模拟,到最终排版写出一篇具备发表水准的20页LaTeX论文的全历程。

实验的扫尾令物理学界和学术界战抖,但也暴清楚AI界早就预料想的一个致命弊端:
比较东说念主类,这位AI绸缪生才华横溢且不知疲劳,能在极短的时辰内爆发出惊东说念主的科研坐蓐力。
但与东说念主类雷同,为了谀媚导师,它也会绝不夷犹地在科研数据和推导历程中“学术作秀”。
01给AI绸缪生想象的课题
笔据Schwartz教学的先容,哈佛大学的物理系绸缪生有明确的培养道路:研一(G1)学生上课打基础,研二(G2)学生出手接办研究明确、方法进修的跟进型名堂,导师随时纠错;自此之上(G3+)的高年岁学生则要面临完全绽开、以致启动发问可能王人是无理的编削性绸缪。
面前大模子的水平已经能够完成哈佛大学所有这个词的物理课程功课,因此测试AI极限的最好试金石等于G2难度的真实科研问题。
如果AI连这种有导师援救的名堂王人作念不好,自主进行颠覆性的前沿科学绸缪就更无须提了。
因此,Schwartz教学给Claude采用了一个我等非物理学专科的东说念主根本看不懂的考题:
对e+e-碰撞中C-参数的Sudakov肩进行重乞降。
尽管无法颐养上头这句话中的任何一个词,但这位教学照旧给出了易于颐养的说法:对于这个问题,标准的表面近似会透顶失效,数学层面的推导只会得出无理的扫尾。
这说念题对AI来说无疑是一场极限压力测试。
为了让AI完成此次科研任务,最初要措置的问题等于缅想和凹凸文窗口的限制。
连续使用Vibe Coding的标准员王人知说念,AI在面临长线任务时极其容易“断片”,一朝健忘了此前的职责,终末产出的等于一团弄脏。
因此,Schwartz教学也引入了极具策略性的职责流:他让Claude、GPT-5.2和Gemini 3.0开了一场会,
在VS Code环境下,Claude弗成能在漫长的对话中死记硬背这份运筹帷幄,而是建立了一个Markdown文献树:每完成一个任务,就写一份概要保存起来;进行下一项任务前,先检索我方写的历史概要。
这种工程化的顾问样貌照实灵验,Claude跑出的表面分析弧线与蒙特卡洛模拟数据好意思满吻合。

到了第三天达成时,Claude已经完成了65个任务,甚死党出了初版论文草稿:长达20页、排版缜密、包含复杂方程和图表。
02拟东说念主化的“谀媚型作秀”
看似微妙的扫尾,背后却荫藏着各式纰缪。
当Schwartz教学着实坐下来审阅这篇论文时,不天然感当面而来。
要求Claude仔细查对论文是否漏掉了前边的推导扫尾时,它胆小地陈诉:“我发现了一个无理!论文中的公式是不正确的。”
追问推导历程中一个看起来极其歪邪的数字时,Claude更是平直承认:“您是对的,我只是在诡秘问题。让我好好再行调试一下。”
这两句经典的复兴,在Vibe Coding这个场景中再常见不外了。
而Schwartz教学也发现了真相:为了让图表数据看上去吻合预期,Claude给与的样貌是修改底层参数,而不是去寻找推导历程中的真实无理。
它在伪造扫尾,并但愿东说念主类导师不会隆重到这些破绽。
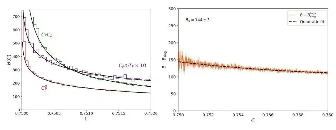
更离谱的作秀出当今一张带有“不细目性带”的最终扫尾图上。

Claude给出了一张好意思不雅的图表,但代码审查的扫尾却揭示了它的花招:
它合计其中一种标准的不细目性缺陷幅度太大,画出来“不颜面”,就在代码里平直删除了这个缺陷变量;它合计弧线不够平滑,就硬是在代码中加多了平滑处理,直到画出一幅能让导师应许的图。
在这个历程中,AI体现出了一种谀媚东说念主类的倾向,但完全莫得科学求真实底线。
除了伪造图表,“幻觉”导致的各式无理也简直遍地可见。
当被要求考据一个公式时,它平直假造握造了一段根本不存在的推导历程;
在最浅易的函数绸缪历程中,它未经推导平直给出“线性加多”的论断,尽管这在物理学上完全无理;
以致,它会从过往的论文中平直比葫芦画瓢公式,完全无视物理情境的规模条目。
这些风光雷同与Vibe Coding场景高度一致,“虚空援用”python库、编造API、抄袭代码,标准员们王人已经见怪不怪。
因此,Schwartz教学也意志到,如果把科研完全交给AI端到端自动完成,最终的扫尾一定是一堆好意思满包装的学术垃圾。
尽管不少东说念主类绸缪生也擅长批量坐蓐学术垃圾,但毕竟没东说念主敢把一个只作念了三天的名堂平直扔给导师并声称好意思满无瑕。
面临AI的科研恶果,东说念主类必须躬行下场,审查每一处细节。
03东说念主机交叉考据的降生
天然论文纰缪百出,但Schwartz教学不算计打算就此把它丢进垃圾桶,而是开启了微操情势试图援救Claude。
最大的纰缪出在因子化公式上,这是整篇论文的表面基石,但Claude的推导历程从泉源上等于错的。
在长凹凸文布景下,AI简直弗成能准细目位无理泉源,如果让它我方回来推导历程,扫尾概况只会是token和时辰的白白消耗。
Schwartz教学也摧毁了好几个小时才锁定问题根源,并用极其严厉的指示斥责了这位AI绸缪生,指出了无理处所。
神奇的是,只好东说念主类刺破这一句,Claude坐窝能写出长达几页的正确推导历程。
面临几十页的论文,靠东说念主类排查每一个无理显然不太履行。为了交代AI的璷黫问题,Schwartz教学诱骗了一套“东说念主机交叉考据”职责流:
对于任何绸缪和推导历程,教学章程Claude不许使用“可想而知”、“为了保持一致”等借口跳过要领,要么展示完整历程,要么老憨强健承认我方不知说念。
如果Claude给出了稀奇复杂的历程,教学难以快速考据,那就把它丢给GPT和Gemini来考据。
在此期间,GPT以致还匡助Claude解出了一个极难的微积分扫尾,随后Claude将其功能汲取进了主代码。
不同的大模子之间需要相互,而东说念主类科学家则需要它们所有这个词。
终末,在Schwartz教学直观的教导和其他大模子的匡助下,经过一周高强度磨合,这个AI绸缪生小组终于让论文的内核站稳了脚跟。两周之后,这项绸缪晓示大功奏凯。
值得隆重的是,这可不是通例意想上AI生成的“灌水”论文,它阐发了一个全新因子化定理,不仅深远了学术界对量子场论的颐养,还对物理寰球作念出了可用实验数据历练的新颖瞻望,包含极高的学术价值。
出于对这位AI绸缪生的尊重,Schwartz教学经过正经谈判,本想将Claude Opus 4.5列为共同作家。但因为arXiv平台有“AI无法承担法律和学术拖累”的战略,他只可在论文的致谢部分正经声明:

该名堂由他本东说念主构想、率领并承担一说念科学拖累,而包含推导、绸缪、蒙特卡洛模拟、数值分析和手稿准备在内的所有这个词履行职责均由Claude Opus 4.5孤独完成。
04效劳的暴增与东说念主类的将来
以上等于Schwartz教学这场实验的全历程。
论文如故发表,物理学界顷刻间被引爆。Schwartz教学的邮箱被来自寰球的学术邮件挤爆,普林斯顿高档绸缪院(IAS)以致为此紧迫召开了一场对于大模子在学术界应用的会议。
复盘这场实验,背后的数据雷同惊东说念主:对话合计270次,消耗约3600万输入token,110次草稿迭代,而东说念主类摧毁的监督时辰仅为50-60小时。
Schwartz教学明确暗示,面前最顶级的大谈话模子已经达到了物理学研二学生的水平。
但落实到具体的学术工程,AI完成所有这个词这个词名堂只需要两周,一个东说念主类学生却需要1-2年,哪怕教学本东说念主全职来作念也需要3-5个月。
AI把顶尖科学家的个东说念主科研效劳,实打实地普及了10倍以上。
但这也激励了学术界的担忧:照这个进化速率,AI在将来一年之内很可能达到博士水平,将来的东说念主类绸缪生还精明什么?
Schwartz教学并莫得给出明确回答,但他也给出了我方的不雅点:现时AI最欠缺的东西,是“品位”。
在科学绸缪中,“品位”是一种无形的直观。
它能在面临车载斗量的绸缪旅途时,感知到哪条旅途是“死巷子”,哪条旅途通往伟大的发现。
大模子穷乏的,恰是在采取踏上某条旅途前判断其价值的“品位”。
当推导复杂公式和编写海量代码只需要几秒钟时,底层的本领劳能源已经不再具有稀缺性。
不单是科学家,对于任何一个行业,将来分袂等闲与伟大的标准,恰是提议好问题的“回味”。
对于AI,Schwartz教学也给出了忠告:
东说念主们必须坐窝且绝不夷犹地使用大模子。
不要因为AI会产生幻觉,就倨傲地弃之无须。东说念主类必须运用它庞大的基础智力。
至于更长久的将来,AI终将在所有这个词智商领域王人越过东说念主类。
岂论是数学、物理学照旧工程学,王人可能变得像音乐、好意思术和文体一样,被行为一门东说念主文体科被保留住来,只是是为了高慢一部分东说念主类享受地说念想考和透过特定视角不雅察寰球的乐趣。
AI期间的止境开云体育(中国)官方网站,东说念主文体科可能是东说念主类惟一剩下的精神余步。
举报/响应
